Главная
Каталог
О компании
Новости
Контакты
Документация
Оставить заявку
Трубы
Трубы
Трубы
Директор
+375 (29) 658 29 68
Бухгалтер
+375 (29) 674 87 26
Городской
+375 (17) 377 00 26
Оставить заявку
Каталог
/
Трубы
/
Трубы чугунные и типы соединений
/
Соединение стандартного типа (K9) и класс давления
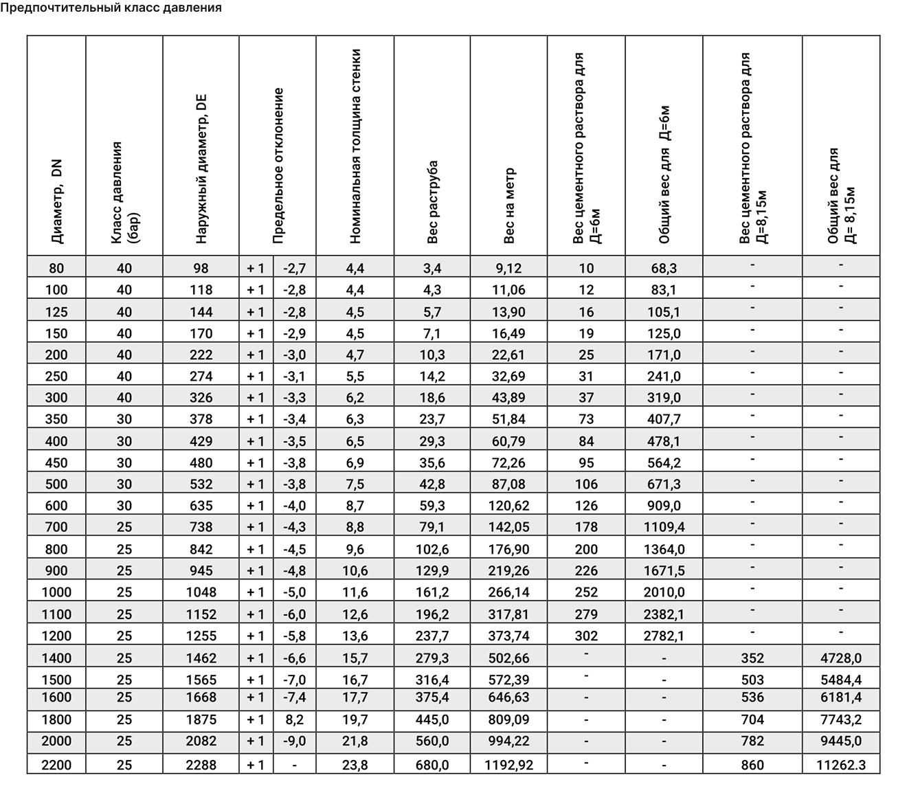
Соединение стандартного типа (K9) и класс давления
Размеры в «мм», вес (В) в «кг»
Предпочтительный класс давления
Оставьте заявку
Мы свяжемся с вами
Имя
*
Почта
*
Комментарий
*
Оставить заявку
Нажимая “оставить заявку” вы соглашаетесь с
политикой конфиденциальности